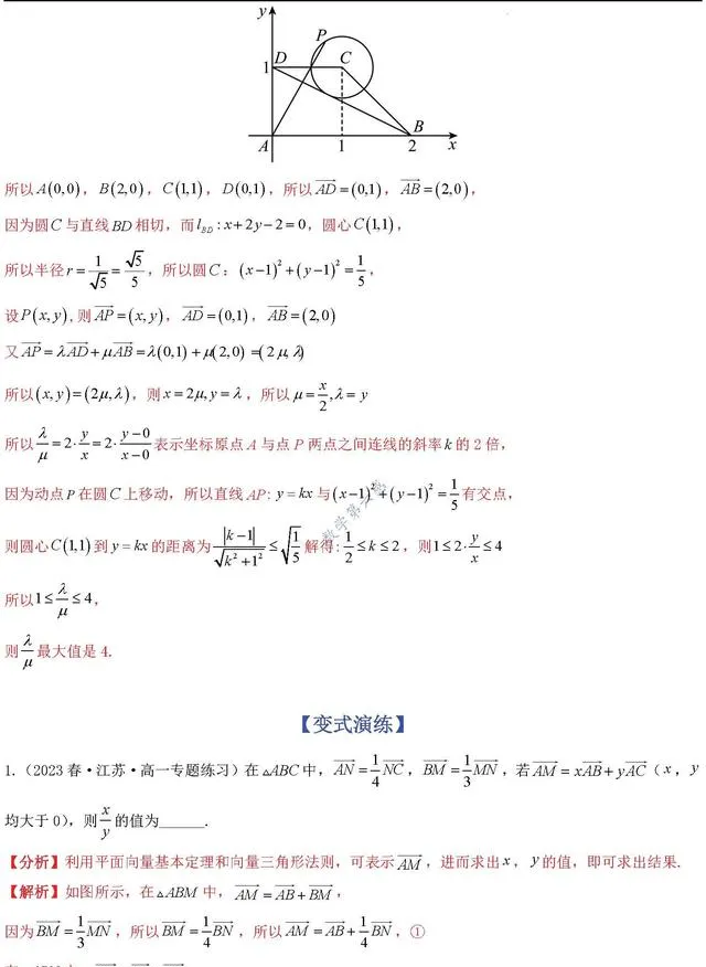
向量三大定理及四心必考的14類題:7類等和線 四心 極化恒等式 奔馳定理 軌跡型(含word)
向量三大定理及四心必考的14類題:7類等和線 四心 極化恒等式 奔馳定理 軌跡型(含word)
Copyright © 2026 www.aqiusha.com NO.1 華文世界
商務合作:xingwausa#gmail.com(傳送郵件請將#換成@)